Mesurer les mots suivants
Comment aborder le troisième mot
Difficulté mathématique raisonnable
Nous savons calculer l'espérance de tous les tableaux où il y a deux mots, mais lorsque qu'il y a trois mots ou plus comment calculer l'espérance ? Il est bien évident que nous n'allons pas reconstruire un modèle complètement différent de celui que nous avons déjà élaboré. La méthode va consister à déterminer quelle est l'espérance d'ajouter un mot à un tableau qui en contient déjà au moins deux.
Faisons quelques remarques préliminaires :
- Nous avons vu que pour faire apparaître un mot satellite près d'un mot principal, les chances augmentent considérablement si l'on peut effectuer des glissements verticaux (si l'on peut sauter des lignes).
- Lorsqu'on cherche à faire apparaître un troisième mot dans un tableau qui en contient deux, il est beaucoup plus difficile d'autoriser les sauts de lignes pour augmenter les chances, car il faudrait établir à nouveau un critère de même impressionnabilité pour des tableaux contenant plus de 2 mots. Ce travail ne serait pas tout à fait simple. Etant donné la complexité d'un tel critère et le peu de bénéfice qu'il présente, nous considérerons qu'il n'y a pas de sauts de lignes possibles lorsqu'on ajoute un troisième mot ou davantage.
- Il faut voir que, là encore, ce choix va sous-évaluer les résultats. Nous avons sans cesse procéder à des sous-évaluations ; et comme les résultats que nous obtenons sont suffisamment probants, il faut penser qu'un calcul plus complexe et plus précis donnerait des résultats encore plus probants. Il est donc inutile de trop complexifier l'étude mathématique.
Revenons en à la méthode de construction des tableaux. Nous avons vu que la procédure la plus logique pour construire ces tableaux est de rechercher en premier le mot le moins probable, puis seulement après de chercher ceux qui gravitent autour. Et nous allons utiliser la même méthode pour chaque mot qui s'ajoute. Nous allons évaluer quelle est l'espérance de trouver un mot supplémentaire à une proximité déterminée des mots déjà existants ?
Les questions essentielles qui se posent sont les suivantes : comment évaluer la proximité d'un mot à plusieurs mots ? Si l'on désire déterminer la distance d'un mot à plusieurs autres, comment procéder ? Doit-on évaluer la proximité de ce mot au mot le plus long ou bien doit-on évaluer sa proximité à l'ensemble des mots présents ? Et dans ce cas, comment s'y prendre ? Il y a beaucoup de modèles possibles, lequel choisir ?
La méthode qu'on choisira - qui semble la plus objective - est de considérer la plus grande distance entre les lettres du mot étudié et la plus proche des lettres des autres mots. C'est en fait la même méthode que nous avons définie pour estimer la distance d'un deuxième mot par rapport au mot principal. Cette méthode permet de considérer l'ensemble des mots présents comme étant un seul mot. Exemple :

Pour déterminer la distance du mot 'fin' aux deux premiers mots, il faut rechercher quelle lettre du mot 'fin' est la plus éloignée des deux mots. Le 'f' est proche du 'e' de 'deux'. Le 'n' est proche du 'r' de 'premier'. La lettre la plus éloignée est donc le 'i'. Et la lettre la plus proche de ce 'i' est le 'p' de 'premier'. La distance du mot 'fin' aux deux autres mots sera donc déterminée par la distance du 'i' au 'p', soit Racine(2²+2²)=2.83.
C'est par cette méthode que nous allons estimer la distance d'un mot à n'importe quel groupe de mots. Pour les calculs de positions, nous procéderons de la même façon que précédemment, c'est-à-dire en assimilant les lettres à des surfaces, à des segments ou à des points selon le besoin.
Pour être vraiment rigoureux dans un tel modèle, il faudrait mesurer les distances entre les mots en résolvant des équations, car le fait de mesurer les distances avec les lettres produit une petite erreur d'estimation dans les résultats. En effet, l'exemple suivant nous le montre : nous avons calculé que le mot 'fin' est à la distance 2.83 des autres mots. Il suffit de tracer autour des deux autres mots une surface de recherche à la distance 2.83. On s'aperçoit que si l'on considère le segment de droite qui forme le mot 'fin', il n'est pas entièrement inclus dans la surface de recherche. On observe cela tout simplement parce que 2.83 n'est pas une estimation très exacte:
Dans notre modèle continu (où l'on parle de segments, de surfaces au lieu de mots et de lettres), la distance de recherche aurait dû être légèrement supérieure, juste ce qu'il faut pour que tout le segment soit inclus. Cette erreur d'estimation n'est pas très importante car elle est encore à notre désavantage. Les résultats n'en seront que sous-évalués. Il arrivera quelques fois, lorsque la sous-évaluation sera un peu trop importante par cette méthode, que nous utilisions le modèle plus précis calculant la distance de recherche par des équations plus compliquées.
Une difficulté supplémentaire
Difficulté mathématique raisonnable
A partir de trois mots, il y a une difficulté supplémentaire qui ne permet plus d'appliquer le modèle tel que nous l'avons construit pour deux mots. En effet il suffisait de multiplier la surface de recherche par la surface locale pour obtenir le nombre de positions possibles pour un mot. Seulement, à partir de trois mots cette méthode ne convient plus. Cela provient du fait que les surfaces de recherche ne sont plus convexes. Une surface convexe est une surface entièrement bombée, sans concavité. La définition mathématique exacte d'une surface convexe est qu'on peut relier n'importe quel couple de points de la figure par un segment, sans sortir de la figure. Or, si l'on observe les tableaux d'au moins trois mots, la plupart du temps il existe des concavités dans la surface de recherche.
Si, par le calcul modélisé pour deux mots, on comptait le nombre de positions possibles pour le troisième mot, il y aurait un certain nombre de positions qui seraient comptées en trop. En effet, certaines positions ne conviennent plus du fait de la concavité.
Pour bien comprendre ce principe, remémorons-nous précisément la méthode au travers d'un exemple. Dans le tableau suivant, la surface de recherche est fixée autour des deux premiers mots à la distance 3 (en gris dans l'exemple). On cherche à faire apparaître un mot de cinq lettres avec une distance inférieure à 3 des deux premiers mots.

Comme précédemment, nous choisissons une position pour la première lettre du mot : nous avons choisi le 'T' en bas à droite de la surface de recherche. Il suffit ensuite de construire ce qu'on a appelé la surface locale de recherche. C'est une surface identique à la grande, mais qui est réduite en divisant par 4 les distances. Ce 4 provient du nombre de lettres du mot que nous cherchons. Nous cherchons un mot de cinq lettres ce qui fait 4 espaces entre les lettres (5-1 = 4). On positionne la surface locale de sorte que le 'T' soit le centre d'un agrandissement. Rappelons ensuite que toutes les deuxièmes lettres à l'intérieur de cette surface locale définissent des positions possibles. Ainsi le 'R' convient comme deuxième lettre. Si on prolonge par sauts de lettres selon le même écart, on trouve le mot 'TROIS'. Ce mot a bien été trouvé selon le principe que nous avons établi ; il devrait donc être à une distance inférieure à 3 des deux premiers mots. Mais il y a un problème : le mot trouvé n'est pas entièrement inclus dans la surface grise. La distance de ce mot 'TROIS' aux deux premiers mots est donc supérieure à 3, et ainsi ce mot ne convient pas pour la distance de recherche que nous avons fixée. On s'aperçoit par cet exemple que le procédé appliqué pour deux mots ne convient plus pour trois mots. Cela est dû aux concavités de la forme grise. Il faudra donc modifier notre méthode de calcul.
Nous apporterons des modifications. Pour compter toutes les positions possibles pour un troisième mot, nous procéderons comme suit :
· Comme pour deux mots, on choisit d'abord une première lettre du mot.
· Puis ensuite nous recherchons toutes les deuxièmes lettres possibles d'après la première que nous avons choisie. Nous avons vu que cette fois-ci les deuxièmes lettres possibles ne correspondent plus à la petite surface réduite. Les deuxièmes lettres possibles sont encore moins nombreuses, car il faut retirer les deuxièmes lettres qui, lorsqu'on prolonge, forment une direction qui sort de la figure, comme l'a montré l'exemple précédent. Le segment qui joint le 'T' au 'R' sort de la surface locale, c'est pourquoi lorsqu'on construit le mot 'TROIS' à partir de ces deux lettres, il se produit le même phénomène : on trouve des lettres hors de la figure avant d'y rentrer à nouveau. Si l'on désire faire le compte des positions possibles, il suffit donc de supprimer toutes les positions qui sont dans ce cas, celles dont le mot sort de la surface pour y rentrer à nouveau. Ce qu'il nous reste à faire, c'est calculer l'estimation précise de ce nombre de positions.
· Enfin, on recommence le même procédé pour chaque première lettre possible, c'est-à-dire pour toutes les lettres de la surface de recherche.
L'ajustement
Difficulté mathématique moyenne
Comment faire l'estimation du nombre de positions effectivement recevables ? Pour apporter une réponse, commençons simplement par observer précisément quelles sont ces positions recevables.
Supposons qu'on ait deux mots qui se croisent et qu'on choisisse une distance de recherche dans laquelle on veut faire apparaître un troisième mot autour de ces deux premiers. Nous avons vu que la recherche commence par le choix d'une première lettre. Ensuite nous allons nous intéresser à la surface locale de recherche. Elle a la même forme que la surface totale, mais elle est réduite.
C'est cette surface locale que nous avons représentée par le schéma ci-après. Nous avons représenté le choix de la première lettre par un point noir. Notre but est d'observer les positions qui sont possibles à partir de ce choix. Il faut donc observer quelles sont les positions possibles pour les deuxièmes lettres.
Pour qu'une position soit recevable, nous avons expliqué la nécessité pour le mot de ne pas sortir de la surface de recherche pour y rentrer à nouveau. De plus, nous avons détaillé le fait suivant : ce qui se produit dans la surface de recherche entre les deux premières lettres se produit de façon analogue pour l'ensemble du mot ; la deuxième lettre est placée dans la surface locale comme la dernière l'est dans la surface globale.
On s'intéresse à l'ensemble des lettres de la surface locale pouvant être atteintes depuis la première lettre par une ligne droite sans sortir de la figure. Si l'on trace l'ensemble des lettres qui sont dans ce cas, on obtient la forme suivante dessinée en gris foncé.

On pourrait faire de même pour n'importe quel choix de première lettre. On peut imaginer les différents schémas obtenus.
Pour établir nos calculs, nous allons découper la surface locale en trois parties. La première partie est celle que nous avons entourée en pointillé : nous l'appellerons la surface commune, nous la noterons C. La seconde partie correspond à la surface de recherche du mot satellite horizontal (la partie commune étant comprise), nous l'appellerons P (car c'est le petit mot). Enfin la troisième partie sera la surface oblique qui contient aussi la surface commune, nous l'appellerons G parce qu'elle correspond au grand mot, au mot principal.
Si la première lettre du mot est dans la surface C, toutes les lettres de la surface sont des deuxièmes lettres possibles, car une lettre placée dans C peut atteindre l'ensemble de toute la surface locale. Dans la surface G-C (G sans la partie commune), les lettres peuvent atteindre toute la partie G et un peu plus. C'est ce que nous pouvons voir dans l'exemple ci-dessus. On peut constater que plus la lettre est choisie proche de C, plus la surface qu'elle peut atteindre est grande. De même dans la surface P-C (P sans la partie commune), une lettre peut atteindre P et un peu plus.
Si nous déterminons la surface que peut atteindre une première lettre, nous pourrons estimer le nombre de positions possibles à partir de cette lettre. Toute la technique réside dans la méthode suivante : au lieu de faire un calcul différent pour chaque première lettre, nous allons établir une moyenne. Nous obtiendrons ainsi la surface moyenne qu'une lettre peut atteindre. Nous en déduirons le nombre moyen de positions pour chaque première lettre. Ainsi nous pourrons estimer très précisément le nombre total de positions.
Recherchons donc le nombre de positions qu'une première lettre peut atteindre en moyenne.
L'ensemble de la surface est donné par le calcul G+P-C (C est comptée 2 fois, elle est contenue dans P et dans G). Nous appellerons h le "un peu plus" dont nous avons parlé. Pour chaque choix d'une première lettre le h est très variable ; pourtant dans tous les cas nous l'appellerons h sans se préoccuper de sa valeur.
Calculons séparément la surface atteinte par une lettre placée dans chacune des parties différentes : pour une lettre dans C, la surface atteinte est G+P-C ; pour une lettre dans G-C, la surface atteinte est en moyenne G+h ; et pour P-C la surface atteinte est en moyenne P+h.
La surface moyenne atteinte par une première lettre est donc donnée par un simple calcul de moyenne, en affectant à chaque partie son coefficient (c'est-à-dire le nombre moyen de lettres atteintes par cette partie) et en divisant par la surface totale :
![]()
Si on le transforme un peu, on obtient :
![]()
Ce résultat estime la surface atteinte. Seulement, ce résultat est une moyenne sur l'ensemble des premières lettres possibles. Le fait d'être une moyenne est très intéressant : en effet, à partir de ce résultat on peut savoir quel pourcentage représente la surface atteinte par rapport à la surface totale. Pour obtenir ce pourcentage, il suffit de diviser le résultat par G+P-C qui est la surface totale.
Or nous travaillons dans la surface locale, et nous avons vu que la surface peut s'interpréter en un nombre de lettres. Ainsi, le pourcentage défini ci-dessus nous renseigne sur le nombre de secondes lettres effectivement possibles par rapport aux secondes lettres initialement prévues. On obtient alors ce qu'on pourrait appeler un coefficient d'ajustement. Ce coefficient est très intéressant car il donne le pourcentage moyen des positions qui conviennent réellement. C'est pourquoi, il suffira de calculer le nombre de positions par la formule du modèle général qui prévoient que toutes les positions sont valides, puis en multipliant par ce coefficient, on obtiendra le nombre de positions effectivement valables dans le cas de la figure qui est non convexe.
Par les calculs que nous venons d'expliquer, après avoir divisé par G+P-C, on obtient la formule suivante en simplifiant l'expression :
Le coefficient d'ajustement du nombre de positions pour un tableau à trois mots est:
A=![]()
Où :
- G est la surface de recherche autour du mot principal
- P est la surface de recherche autour du mot satellite
- C est la surface commune à G et P
- h est le gain moyen de surface pour des lettres de G et P.On peut
facilement calculer que h oscille entre 0 et
.
On peut aussi s'apercevoir que plus C est grand, plus h est grand.
Nous n'avons pas détaillé ce dernier calcul parce qu'il présente peu d'intérêt.
Il ne reste plus qu'à calculer G, C et P. Là aussi il y a une méthode qui pourra simplifier nos calculs. Dans tous les calculs que nous venons de faire, nous avons travaillé à l'intérieur de la surface locale de recherche ; mais nous avons vu que la surface locale possède la même forme que la surface globale de recherche. De plus, le coefficient que nous venons de calculer est un pourcentage de surfaces. Ainsi, comme les formes sont les mêmes, il est possible d'effectuer les calculs avec la surface globale au lieu de la forme locale, ce qui nous évite de calculer les réductions de distances. En conclusion, lorsque nous calculerons G, C et P, nous les calculerons pour la forme de la surface globale.
Pour G et P, la forme sera toujours semblable à un stade. Le calcul s'obtient par la formule suivante que nous avons déjà établie : 2dL+p d², où L est la longueur qu'occupe le mot principal.
La partie commune, C, n'a pas toujours la même forme. Dans le cas assez général de notre exemple, elle se calcule par la formule de l'aire d'un losange qui est : base.hauteur. La hauteur est tout simplement 2d. La base se calcule avec l'angle a que nous pouvons voir sur le schéma précédent par : 2d = base . sin(a ). D'où la formule de l'aire est : 4d²/sin(a ). En rassemblant ces résultats, on obtient que la figure a pour aire totale : P + G - C = 2d.(L+L'+d.p+2d/sin(a)) où L' est la longueur qu'occupe le mot satellite. Mais cette formule très précise n'est valable que dans le cas où les deux mots se croisent bien franchement.
Nous ne ferons pas la revue de toutes les autres situations possibles pour deux mots, car ce n'est pas indispensable.
En effet, dans la plupart des cas, lorsque nous calculerons l'espérance d'un troisième mot il suffira d'estimer le nombre de positions par la méthode établie pour deux mots et la seule difficulté sera ensuite d'évaluer précisément la valeur de l'ajustement A. Et nous allons voir que le problème peut se traiter assez simplement par certaines constatations assez simples. Nous n'en ferons pas la démonstration, car elles font appel à des notions de Mathématiques un peu plus compliquées (en particulier les notions de différentielles partielles,...). Mais ceux qui le désirent pourront se convaincre de ces affirmations, par une série importante d'exemples. Voici donc quelques considérations qui permettent de simplifier le problème.
Pour le troisième mot d'un tableau :
- A, le coefficient d'ajustement varie entre 0.5 et 1.
- A est proche de 0.5 quand la partie commune C est presque réduite au néant et que les deux mots sont à peu près de la même longueur,
- A est proche de 1 quand la partie commune C avoisine la taille du petit mot, c'est-à-dire lorsque la partie commune est maximale.
Dans chaque cas que nous étudierons, il suffira donc d'estimer une valeur de A suffisamment basse, et nous obtiendrons une estimation tout à fait correcte du nombre de positions.
Résumé de la méthode pour au moins 3 mots
Difficulté mathématique moyenne
Avant d'achever l'élaboration du modèle mathématique, nous allons résumer la méthode qui permettra le calcul de l'espérance pour trois mots. Supposons que nous cherchions un troisième mot auprès de deux autres mots existants dans un tableau. Nous cherchons un troisième mot très précis possédant r lettres. Une distance de recherche étant déterminée, les étapes suivantes nous permettrons de calculer le nombre de positions possibles pour ce troisième mot à l'intérieur de la distance de recherche choisie.
· Premièrement, il faut calculer la surface F qu'occupe les deux premiers mots.
· Ensuite, on détermine la surface locale qui est la réduction de F. Pour cela il suffit de diviser F par (r-1)² où r-1 est le nombre de lettres du troisième mot cherché. Il faut diviser par (r-1)² car on effectue une réduction de r-1 dans toutes les directions. (En effet, quand on réduit une surface en divisant les distances par r-1, la surface est réduite en largeur, mais aussi en hauteur, c'est-à-dire dans les deux dimensions du plan ; c'est pourquoi si les distances sont divisées par r-1 la surface, elle, est divisée par (r-1)². Ceci donne la taille de la surface locale.)
· Pour trouver le nombre de positions qui sont réellement possibles, il faut ajuster cette surface avec le coefficient A que nous venons de calculer.
· A ce nombre de positions, il faut encore retirer 1 car il ne faut pas compter la première lettre du mot comme deuxième lettre possible.
· Et enfin, ce calcul doit être fait pour chaque lettre du mot ; ce qui revient à multiplier la surface trouvée par F. Et comme le coefficient d'ajustement était une moyenne pour l'ensemble des premières lettres, le résultat global est une bonne estimation.
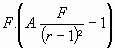
En reprenant le procédé que nous venons de décrire, nous obtenons la formule d'estimation suivante :
Le nombre de positions pour un mot par rapport à un ensemble de mot est :
Nombre de positions =![]()
- F est la surface de recherche formée par l'ensemble des mots auprès desquels on cherche le nouveau mot.
- A est le coefficient d'ajustement,
- r est le nombre de lettres du mot dont on étudie l'espérance.
Cette formule a été élaborée pour la recherche d'un troisième mot. Mais lorsqu'on passe de trois à quatre mots ou d'avantage, c'est exactement le même raisonnement qui rentre en compte et l'on pourra utiliser la même formule.
La seule différence est que le coefficient d'ajustement A peut prendre des valeurs différentes suivant les situations. Dans certains tableaux particuliers, avec de nombreux mots, la valeur de A pourra être inférieure à 0.5. Si l'on cherchait à établir une formule du coefficient A, on verrait que plus le nombre des mots est important, plus la formule qu'on obtiendrait serait complexe. Par contre le raisonnement général resterait toujours le même. Nous ne nous étendrons pas plus sur d'autres calculs.
Pour ceux qui désireraient estimer l'espérance de tableaux contenant plus de trois mots, il suffira d'estimer pour chaque nouveau mot la valeur de l'ajustement A, en fonction de la position des mots. L'estimation pourra être faite soit par le calcul, soit en sous-évaluant intuitivement le résultat tout en comprenant bien le mécanisme qui permet d'estimer A.
Les principes qu'il faut retenir sont les suivants :
- A est une valeur entre 0 et 1
- Plus les surfaces de recherches sont compactes et entassées les une sur les autres, plus la valeur de A est grande.
- Plus les surfaces sont disjointes et éclatées, plus la valeur de A est petite.
- Pour les calculs d'un troisième mot, la valeur minimale que peut prendre le coefficient A est 0.5.
C'est ici que nous achevons les calculs mathématiques qui permettent d'estimer la qualité des tableaux présentés.
Quelques remarques finales
Les mots qui apparaissent en clair
Difficulté mathématique simple
Il y a beaucoup de tableaux où le texte apparaît en clair dans le livre de Drosnin. Lorsque, parmi les mots d'un tableau qui se croisent, on trouve des mots horizontaux, on peut constater la plupart du temps que ce sont des mots écrits en clair dans le texte. Ces mots ne sont pas dus à des lettres hasardeuses. Ils ne sont pas le fruit d'une combinaison particulière, mais de la plume même de l'auteur.
En calculant l'espérance d'un mot en clair dans le texte par notre méthode, nous constaterions des résultats très nettement inférieurs aux statistiques qu'on pourrait relever dans le texte. Mais cela n'aurait rien de prodigieux, c'est tout simplement du au fait que les mots en clairs ne sont pas le fruit du hasard. Les lettres ont été disposées consciemment pour former des mots. Lorsqu'on calcule une espérance, c'est un calcul qui prévoit ce que le hasard peut apporter. Mais si le texte contient un ordre issu de la volonté de l'auteur, cela ne peut être considéré comme un hasard. Ainsi notre calcul n'apporte pas les bons résultats, car il n'est pas basé sur le bon modèle qui prendrait en compte la volonté de l'auteur.
Il en résulte qu'on ne peut pas traiter les mots en clair dans le texte selon le même principe que les mots trouvés par le procédé du saut de lettres. Mais alors comment évaluer leur espérance ? C'est là une tâche très difficile. Les mots en clair proviennent de phrases qui donnent elles-mêmes sens à un texte. Pour estimer si un mot est surprenant à l'intérieur d'un tableau, il faudrait savoir quels sont les mots fréquents dans le texte étudié, quelle est la fréquence de chaque mot, de chaque idée. Or de telles mesures sont très dépendantes du texte qu'on étudie, de la langue utilisée. Dans un texte, le choix des mots n'est pas hasardeux : il n'est donc pas quantifiable. Pour mesurer de façon très précise l'apparition d'un mot en clair dans le texte, il faudrait un critère fiable permettant d'établir le nombre de façons possibles qu'il existe pour formuler une idée donnée, dans une langue choisie. C'est à vrai dire impossible. En réfléchissant un tout petit peu à ce qu'est une langue ou encore à la poésie, cette constatation devient évidente. La complexité du langage utilise une grande partie de l'intelligence humaine. Fabriquer un modèle mathématique pour mesurer le langage nécessiterait de comprendre ce qu'est l'intelligence humaine, et nous en sommes bien loin. Par ces constatations nous pouvons voir qu'il est impossible de dresser une loi générale pour étudier les mots en clair.
Il est malgré tout possible de formuler quelques remarques intéressantes. Si un livre parle de guerre ou de cuisine, les mots en clair ne seront pas les mêmes ; c'est pourquoi, on pourra toujours faire une étude particulière pour chaque mot qui apparaît en clair dans un tableau, afin de voir si ce mot est courant ou non dans le texte étudié. Il est bien évident que peu de mots, en dehors des mots de liaisons, se trouvent très fréquemment dans un texte, au point qu'on puisse les voir apparaître dans pratiquement tous les tableaux. Par contre, il y a des textes où certaines idées reviennent fréquemment avec toutes sortes de mots pour les exprimer. Et si l'on cherche bien, il est fort probable que dans n'importe quel tableau on trouve une formulation qui exprime cette idée.
Par exemple, si on cherche dans la Torah le mot 'tuer' ou bien l'un de ses voisins (assassins, meurtre, verser le sang, égorger,...), il existe de bonnes chances de pouvoir faire apparaître cette idée au voisinage de n'importe quel mot codé en cherchant bien. Pourquoi ? Tout simplement parce que la Torah parle très souvent d'holocauste d'animaux, ce qui était un rite religieux, elle parle aussi de nombreux meurtres, de législations sur les homicides, de guerre, etc_ Si on fait le compte des mots drainant cette même idée, ils sont innombrables. Si l'on compte les mots uniquement basés sur les racines des mots 'meurtrier', 'mort', et 'tuer', il y a plus de 220 occurrences dans la Torah.
Mais quoi qu'il en soit, il est préférable de ne pas poser de modèle pour calculer l'apparition des mots en clair, car aucun d'eux ne serait assez fiable et réaliste. Les textes étant le fruit d'une réflexion ordonnée et non d'un hasard, on ne peut pas calculer l'espérance des mots en clair. On pourra juste affirmer : ce mot ou cette idée est courant ou bien ne l'est pas.
Il faut bien comprendre qu'il est facile de faire apparaître des mots en clair dans un texte. Etudions comment procéder : lorsqu'on a trouvé un tableau, un mot principal et des mots satellites, il suffit de rechercher s'il existe des mots en clairs aux abords du tableau, des mots qui apportent une idée intéressante. Rappelons-nous l'exemple que nous avons présenté au début du livre : nous avons réussi à fabriquer toute une phrase en découvrant des mots à l'intérieur du tableau, soit selon le principe du saut de lettres, soit en clair.

Les mots 'prenant', 'un code', 'mot' sont en clair dans le texte. Ils font partie du texte de départ. Comme nous le voyons dans cet exemple, il est facile de découvrir des mots riches de sens dans un texte quelconque ; on ne trouve pas uniquement des conjonctions de coordinations. Si l'on dispose d'un texte assez grand, il est facile de trouver des mots qui permettent d'apporter des idées intéressantes et qui donnent un sens à une phrase ou à un contexte.
Nous pouvons constater que les mots qui apparaissent horizontalement ne représentent pas une grande surprise en général. Former un sens avec des mots choisis à l'intérieur d'un texte n'est pas une grande difficulté.
Par un constat objectif, on s'aperçoit que, lorsqu'on cherche, il est toujours possible de trouver quelque chose. Mais si l'on désire trouver une idée précise, dans un tableau précis, selon une formulation précise, il est clair qu'il n'y a pratiquement aucune chance. Par contre selon le principe de l'antériorité, il est facile de produire des effets assez surprenants par des mots en clair après qu'on les ait trouvés. Ainsi il est pratiquement impossible de refaire une deuxième fois exactement la même découverte dans deux tableaux. Retrouver la même chose dans deux tableaux différents, c'est à peu près comme sortir le même numéro au loto deux semaines de suite. Le numéro qui sort ou le texte en clair qu'on fait apparaître est toujours particulier. Et de la même façon que chaque semaine il sort un numéro au loto, de même on trouve pratiquement toujours des mots en clair intéressants à l'intérieur d'un tableau.
Le tableau précédent le montre bien. La phrase de départ avait été conçue uniquement pour faire apparaître le mot 'caché'. Et après avoir conçu la phrase et fabriqué le tableau pour faire apparaître le mot, on y a trouvé une foule de petits mots en clair et codés. De cette façon, en cherchant bien avec un peu d'imagination, on peut toujours construire une phrase dans n'importe quel tableau. Une fois que le résultat est construit, on peut renverser le problème et dire : dans ce texte, serait-il possible de trouver une phrase cachée qui dit: 'Il a mis un mot caché prenant un code 11'. C'est évident que vu sous cet aspect, c'est pratiquement impossible. C'est le cas parce qu'on a pris le problème à l'envers. On parle d'un résultat trouvé en s'interrogeant s'il est probable. On a trouvé le résultat, et seulement après on a construit un contexte autour.
A l'issue de toutes ces remarques nous pouvons dire que nous ne donnerons pas d'estimation mathématique aux mots apparaissant en clair, car c'est vraiment impossible. Et même dans le cas utopique où nous construirions un modèle qui nous permette de le faire, nous risquerions toujours d'être devant le problème de la constatation après coup, le principe de l'antériorité. Or nous l'avons déjà vu, la constatation de l'ordre après coup n'est pas mesurable, et elle n'a rien de forcément exceptionnel. Il est donc impossible de mesurer l'espérance de ces mots par un procédé général. Il sera seulement possible de s'interroger individuellement sur chaque cas.
Il est bien dommage de ne pas pouvoir mesurer l'espérance des mots en clair, car les chiffres sont nécessaires pour appréhender avec rigueur ce qui est relatif. Il faudra pourtant nous contenter d'estimations vagues lorsque nous étudierons les mots en clair.
Dans les tableaux qui sont présentés dans "La Bible : le Code Secret", il apparaît de très nombreux mots en clair. Ces mots ne sont pas le fruit du hasard comme les mots obliques qu'on trouve par le procédé du code. Un rapide calcul nous montre qu'un mot est environ 75 000 fois plus difficile à faire apparaître horizontalement en clair que n'importe où par un code quelconque. Cela signifie que dans un texte fait de lettres au hasard, on risque de trouver assez peu de mots horizontaux par le seul fait du hasard ; par contre un texte sensé est fait de mots réfléchis disposés horizontalement en clair, il est donc naturel de voir apparaître de nombreux mots en clair dans des tableaux. C'est pourquoi le livre "La Bible : le Code Secret" présente autant de mots horizontaux : tout simplement parce que ces mots sont encore plus faciles à trouver que les autres, le texte en est rempli. Si le texte était fait de lettre au hasard on en verrait beaucoup moins.
On fera juste une dernière remarque qui concerne les mots en clair : Nous avons vu qu'il est facile de trouver des mots horizontaux à l'intérieur d'un tableau donné. Mais au lieu de chercher des mots en clair à proximité de mots codés, on peut procéder dans le sens inverse : on peut partir d'une phrase du texte en clair qu'on trouve intéressante et essayer de trouver des mots codés par le procédé du saut de lettre à proximité de cette phrase. Cette méthode donne aussi de très bons résultats. Nous ne construirons pas de modèle mathématique pour cette méthode, car elle demeure une méthode peu utilisée.
Interprétation des espérances avec plusieurs mots
Difficulté mathématique raisonnable
Avant de conclure cette partie mathématique, il est bon de préciser un dernier élément quant à l'interprétation des résultats qu'on pourra calculer. Nous avons vu que nos calculs aboutiront à trouver l'espérance d'apparition d'un mot, soit dans le texte entier, soit à proximité d'un autre mot.
Les résultats que nous présenterons donneront alternativement l'espérance de trouver un mot dans le texte, l'espérance de trouver un mot à proximité d'un autre ou encore l'espérance d'un tableau complet. Mais lorsqu'on désire donner l'espérance d'un tableau complet, il faudra être très attentif à l'interprétation de ce résultat. L'intérêt de donner un résultat pour le tableau en entier est que cela résume tout le tableau, mais nous allons voir que ce résultat n'a pas toujours un sens limpide.
Si on veut calculer l'espérance d'un tableau complet, nous avons vu qu'il faut calculer tour à tour l'espérance de chaque mot. Il faut considérer le mot le moins probable comme étant le mot principal. On calcule ensuite l'espérance de trouver le deuxième mot à proximité du mot principal, puis on continue en partant du mot le moins probable jusqu'au plus probable. Il faut remarquer que ce n'est pas parce qu'on part du mot le moins probable jusqu'au mot le plus probable que les espérances obtenues varient aussi de la moins forte vers la plus forte. Cela s'explique tout simplement parce que ce n'est pas la même chose de dire qu'un mot est probable dans le texte ou qu'il est probable à proximité d'un autre mot.
L'espérance totale d'un tableau est donnée par le produit des espérances trouvées pour chaque mot. C'est là qu'il peut se poser une difficulté dans l'interprétation des résultats.
Donnons un exemple. Supposons que le mot principal ait comme espérance 2 d'être trouvé dans le texte, le mot suivant 0.01 d'être trouvé à côté du premier mot, et ainsi de suite, le mot suivant 10 et le dernier 20. En faisant le produit, l'espérance totale de ce tableau serait de 4, ce qui s'interprète en disant que le tableau peut être trouvé probablement 4 fois en moyenne dans le texte. Mais dans ce cas là, cette interprétation est à prendre avec beaucoup de précautions. Pourquoi ? Voici l'explication : le second mot ayant une espérance de 0.01 (c'est-à-dire 1 sur 100), il a peu de chance d'être trouvé à proximité du mot principal. Et même si les autres mots sont très probables une fois que celui-ci est trouvé, le tableau entier demeure néanmoins improbable à cause de ce deuxième mot. La forte espérance des derniers mots ne peut venir compenser la difficulté d'apparition du second mot. En fait, seule la valeur du premier mot multiplie par 2 l'espérance de voir apparaître le second mot, ce qui établit à 1 chance sur 50 l'espérance de voir apparaître les deux premiers mots ainsi. Les mots mesurés après n'ont aucune influence sur l'apparition du second mot. Pourtant, il faut aussi rapporter que les mots suivants ont une forte espérance. C'est ainsi que l'on multiplie tous les résultats pour donner un résultat global. Mais celui-ci n'a pas forcément le sens qu'on lui attribue : dans le cas de notre exemple en particulier, une espérance de 1 sur 4 ne doit pas être comprise par, il est raisonnable d'espérer voir apparaître 4 fois ce tableau. C'est le défaut des espérances, elles rapportent une moyenne de résultat, et non pas l'attente que l'on peut avoir d'un résultat.
En général, les mots sont assez uniformément répartis dans un texte hasardeux ; ainsi une espérance de 1 chance sur 4 en moyenne, a pour conséquence approximative que le tableau recherché apparaît bel et bien dans 1 cas sur 4. C'est ce constat d'uniformité qui fait l'intérêt certain de l'espérance. Mais on n'est pas à l'abri d'une répartition non uniforme des mots ; et dans ce cas l'espérance doit être interprétée prudemment. Le cas le plus répandu de ce genre de situation est l'exemple que nous venons de citer.
Etant donné que nous voulons apporter une cohérence à notre modèle, nous présenterons toujours l'espérance globale, pour chaque tableau. Mais il faudra faire attention à l'interprétation ; c'est pourquoi il nous arrivera souvent de mettre une remarque à côté du résultat.
En conclusion, nous retiendrons bien le fait suivant : lorsqu'on multiplie l'espérance d'un mot par celles des mots qui le précèdent et que ce résultat est inférieur à 1 alors, si l'espérance totale du tableau est supérieure à l'espérance de ce mot, il faut être d'autant plus prudent sur l'interprétation à apporter.
Conclusion
Nous avons terminé de présenter le modèle mathématique et les calculs qui lui sont attenants. Il ne restera plus qu'à mettre en œuvre tout ce dispositif pour calculer l'espérance des tableaux qui nous sont proposés.
Cette étude mathématique était assez longue, mais elle a été détaillée afin que quiconque le désire puisse la comprendre, la critiquer et procéder lui-même à tous les calculs. Pour ceux qui désirent refaire les calculs, on pourra trouver en annexe le résumé de toutes les formules qui servent aux calculs. En regardant cette annexe, on s'aperçoit finalement que la partie mathématique nécessaire aux calculs est très restreinte.
Le modèle mathématique que nous avons établi est un outil qui sert à mesurer l'espérance de n'importe quel tableau. En sachant pertinemment bien que peu de personnes s'attarderont à bien comprendre cette partie mathématique, nous pouvons dire qu'elle présente néanmoins l'intérêt de pouvoir être contrôlée, vérifiée, transformé par tous ceux qui en auront la volonté.
Mais l'intérêt fondamental de cette étude est de constater qu'avec une simple calculatrice, il est possible de mesurer tous les résultats mathématiques de tous les tableaux, ce qui aurait été plutôt surprenant au premier abord.
Alors pour ceux qui auront la curiosité intellectuelle de vérifier toutes les affirmations qui leur sont proposées, il sera intéressant de prendre le temps de vérifier par eux-mêmes au moins quelques exemples, voire l'ensemble des résultats pour les plus courageux.