EINSTEIN (Albert) 1879-1955

L’œuvre scientifique d’Einstein, d’une exceptionnelle richesse, domine notre temps par son importance, comme celle de Newton domina le sien. Elle porte sur la physique théorique ; mais ce sont les mathématiques qui lui donnent les moyens de ses constructions théoriques, et c’est l’attention à l’expérience, entendue dans un certain sens, qui constitue la source de son inspiration et le garant du sens physique des propositions théoriques.
Fondateur de la théorie de la relativité restreinte et l’un des principaux pionniers de la théorie quantique, il introduisit en science la cosmologie, et fut l’un des premiers à indiquer la voie de la recherche d’une unification des champs. Ses contributions sont à l’origine d’un renouvellement presque complet de la physique contemporaine, en physique atomique et moléculaire et en chimie (par la quantification), en astrophysique (par la relativité, restreinte et générale), et ont rendu possible l’ouverture de nouveaux domaines tels que la physique nucléaire et la physique des particules élémentaires (par la relation masse-énergie de la relativité et la théorie quantique).
L’importance de son œuvre, sa personnalité même et des circonstances propres au contexte mondial de l’époque ont transformé – à son corps défendant – la figure d’Einstein en un mythe pour notre temps. Par-delà les déformations de cette image qui ont brouillé pour le public la véritable nature de sa pensée, il nous reste cette présence, en notre siècle, d’une œuvre de portée considérable, qui a contribué peut-être plus que toute autre, par son contenu et par ses effets, à déterminer certains grands traits, intellectuels et matériels, du monde contemporain. Cette œuvre, créatrice d’un style scientifique profondément original où physique et philosophie, tout en étant distinguées, se rejoignent, fut celle d’un penseur «solitaire», conscient de la dimension métaphysique des problèmes abordés par la science qu’il exprimait comme sa «religion cosmique», et qui éprouvait une «solidarité profonde à l’égard de tout ce qui vit». Mené par un souci éthique, préoccupé de responsabilité sociale, en particulier de celle des scientifiques, Einstein ne craignit pas de prendre position face aux grands bouleversements de son temps.
1. Vie. L’homme, la science, l’univers et la cité
De l’Office des brevets à la relativité générale
Albert Einstein naquit à Ulm en 1879, dans une famille d’origine israélite, non pratiquante et humaniste, ouverte aux arts comme aux sciences et à la technique. Il tint sans doute de sa mère sa sensibilité artistique et de son père et de son oncle maternel son intérêt précoce pour les questions scientifiques. Son père dirigeait une usine d’électrochimie et la famille se déplaça à sa suite à Munich, puis en Italie. Il fit ses études à l’École polytechnique fédérale de Zurich après une année préparatoire à l’école cantonale d’Aarau, où il reçut l’influence du linguiste Jost Winteler qui en était le directeur et chez qui il était hébergé, et dont sa sœur plus jeune, Maja, épousa le fils.
Malgré son goût pour la recherche, il ne trouva un emploi, en 1902, qu’au service des inventions techniques de l’Office fédéral des brevets de Berne, où il put mettre en œuvre son sens de l’expérimentation et des applications pratiques des théories physiques. En 1903, il épousa Mileva Maric, qui avait été sa condisciple à Zurich et dont il eut une fille, Lieserl, en 1902, qui fut confiée aux parents de Mileva et dont la trace a été perdue. Il eut encore deux fils, Hans Albert (en 1904) et Edward (en 1910). Il se préoccupa de leur éducation, même après son divorce et son remariage avec sa cousine Elsa en 1919.
Malgré son travail à l’Office des brevets, Einstein put poursuivre à titre personnel les recherches en physique théorique qui le préoccupaient dès ses années d’étudiant. L’année 1905, son «année d’or», vit la publication de ses articles fondamentaux sur le mouvement moléculaire, sur le rayonnement et sur l’électrodynamique des corps en mouvement, qui fondent respectivement la physique atomique sur la réalité des atomes, la théorie quantique par la quantification de l’énergie et la théorie de la relativité restreinte. Ses recherches ultérieures dans ces différentes directions aboutirent, en 1915, à la formulation de la théorie de la relativité générale et, en 1916, à la synthèse de la première théorie des quanta, qui fut ensuite le point de départ de la mécanique ondulatoire de De Broglie et Schrödinger, et de la mécanique quantique de Heisenberg, Born, Jordan et Dirac.
Entre-temps, Einstein commença d’être reconnu dans le milieu scientifique: nommé privatdozent à l’université de Berne en 1909, puis professeur à l’université de Zurich l’année suivante, il occupa en 1911 une chaire à l’université de Prague, revint à Zurich à la fin de 1912 où il enseigna à l’École polytechnique et étudia, avec l’aide de son ancien condisciple le mathématicien Grossmann, les mathématiques nécessaires à son travail sur la généralisation de la théorie de la relativité, recherche qui vit son aboutissement, à la fin de 1915, à l’université de Berlin où on lui avait offert une chaire. Il fit porter l’essentiel de son activité de recherche dans les années qui suivirent sur l’élargissement de la théorie du champ en direction de l’unification des champs de matière, tout en étant mené par le souci constant d’une théorie future qui serait capable d’incorporer les résultats de la physique quantique.
Le savant dans la cité
Cela ne l’empêcha pas, toutefois, de prendre part aux problèmes de la cité. Opposant de toujours au militarisme allemand, les années de la Première Guerre mondiale le virent assumer des positions pacifistes. Après la chute du Reich, il soutint la République de Weimar; ami du premier ministre Rathenau, il mit, à la demande de ce dernier – qui devait être assassiné en 1922 –, son prestige au service de la réconciliation entre les peuples qui hier se déchiraient.
L’annonce, au lendemain de la guerre, par l’astronome Eddington du résultat de l’observation de l’éclipse solaire faite par une double expédition en Afrique et au Brésil, confirmant l’une des prédictions de la relativité générale – la courbure des rayons lumineux en provenance des étoiles passant au voisinage du Soleil –, détermina l’acceptation de la théorie de la relativité et la célébrité mondiale d’Einstein. L’Académie des sciences de Suède lui décerna le prix Nobel en 1921, officiellement pour ses travaux sur les quanta de rayonnement, mais en réalité aussi pour la théorie de la relativité. L’accession de Hitler au pouvoir, en 1933, le détermina à quitter l’Allemagne où il était menacé et à accepter l’invitation de l’Institut d’études avancées de Princeton, aux États-Unis, où il demeura jusqu’à sa mort, en 1955 .
Les persécutions raciales le poussèrent à soutenir l’action du mouvement sioniste, tout en récusant l’idée d’un État religieux et en prônant la coopération entre juifs et Arabes en Palestine. La montée du national-socialisme lui fit mesurer l’insuffisance du pacifisme face à un tel danger, et il prit aussitôt parti pour la lutte contre l’Allemagne nazie. Il signa en 1941, avec Szilard, une lettre au président Roosevelt dans laquelle il attirait son attention sur le risque que l’Allemagne puisse se doter d’une arme atomique et sur la possibilité de la fabriquer. Ce n’est que plus d’une année après que fut fondé le laboratoire de Los Alamos, où la bombe atomique fut mise au point, avant d’être lancée en 1945 – contre l’avis de la plupart des scientifiques – sur Hiroshima et Nagasaki .
À la fin de la Seconde Guerre mondiale, devant le partage du monde en deux blocs antagonistes, et considérant le risque d’une nouvelle guerre qui pourrait signifier la destruction de l’humanité, Einstein reprit le bâton de pèlerin du pacifisme, plaidant pour un gouvernement mondial en ce qui concerne le pouvoir militaire, lançant avec Russell l’appel à la responsabilité sociale des scientifiques et en faveur du désarmement.
2. Premiers travaux: physique moléculaire, quanta et relativité restreinte
La formation d’un style scientifique
Dès ses premières recherches, Einstein développa un style propre, orienté avant tout vers une analyse des bases fondamentales des théories et du contenu physique des concepts en jeu dans les phénomènes considérés. Dans ses travaux de 1901 à 1904 sur la thermodynamique et la théorie cinétique, il s’interrogeait sur la signification physique de la probabilité W dans la formule de Boltzmann qui la relie à l’entropie S (S = k ln W), relativement à un système physique. Il l’interpréta comme la fréquence dans le temps avec laquelle le système se trouve dans un état donné, et en tira la conséquence que les fluctuations des quantités physiques calculables correspondent à des occurrences réelles et observables.
Cette réinterprétation statistique de la probabilité dans la formule de Boltzmann conditionne ses recherches sur la théorie moléculaire (le mouvement brownien résulte de telles fluctuations), sur la théorie du rayonnement – point de départ de l’utilisation des probabilités en physique quantique –, aussi bien que ses critiques ultérieures sur l’interprétation courante de la mécanique quantique.
Quant aux travaux sur la relativité, ils prennent leur point de départ sur une critique de la mécanique et de la théorie électromagnétique, considérées du point de vue de leurs propositions fondamentales, suivie d’une reformulation des concepts d’espace et de temps. La théorie de la relativité restreinte ainsi constituée autour de la notion de covariance pour les systèmes d’inertie fut à son tour l’objet d’une critique sur le caractère arbitraire du choix de tels systèmes et sur la signification objective de la notion de covariance, qui ne peut être que générale et qui doit porter sur les mouvements accélérés quelconques. L’interrogation sur le rapport de la masse d’inertie à la masse gravitationnelle conduisant à énoncer l’équivalence du champ de gravitation et d’un mouvement uniformément accéléré, la remise en question de la signification physique de la masse d’inertie à travers le «principe de Mach» puis la critique de l’interprétation physique directe des coordonnées en termes de géométrie euclidienne sont les éléments d’analyse qui le conduisirent à la théorie de la relativité générale.
Mouvement moléculaire
Einstein s’aperçut que les fluctuations pourraient trouver une application dans les propriétés du mouvement brownien, mouvement aléatoire de nature macroscopique affectant de petits corps en suspension dans un fluide, qui résulte de l’agitation thermique des molécules. Élargissant la notion de pression osmotique des molécules des corps dissous aux corps en suspension, il montra, en 1905, que la loi en est la même dans les deux cas, et obtint le déplacement moyen des particules en suspension, qui fournit une détermination exacte des dimensions atomiques. Perrin verifia la formule d’Einstein quelque temps plus tard, confirmant ainsi la réalité des atomes.
Quantification du rayonnement
Dans son article de 1905 intitulé «Sur un point de vue heuristique concernant la production et la transformation de la lumière», Einstein appliqua, selon une démarche différente de celle de Planck, sa formule réinterprétée de l’entropie au rayonnement contenu dans un volume donné, trouvant la même forme pour la variation d’entropie que celle d’un gaz en théorie cinétique. Il en déduisit la relation entre l’énergie et la fréquence, E = h n, qu’il attribua à une propriété du rayonnement : «l’énergie de la lumière est distribuée de façon discontinue dans l’espace» sous forme de «quanta de lumière». Planck avait au contraire considéré sa formule de la quantification des énergies dans le rayonnement du corps noir comme un artifice mathématique et l’avait interprétée comme un échange entre le rayonnement et la cavité émettrice ou absorbante. C’est donc Einstein qui introduisit le premier en physique la quantification de l’énergie lumineuse. Il pouvait ainsi, en particulier, expliquer l’effet photoélectrique, observé antérieurement par Hertz, et prédire la loi du potentiel d’arrêt des électrons émis, qui ne devait être vérifiée, par Millikan, qu’en 1914.
Il allait se rendre vite compte que cette «hypothèse des quanta de lumière» était incompatible avec la théorie électromagnétique classique au niveau atomique et obligeait à un remaniement théorique profond, dont il posa quelque temps plus tard les jalons fondamentaux. Mais restons encore à l’année 1905.
Relativité restreinte
Très tôt préoccupé par la théorie électromagnétique et par son rapport à la question du mouvement, Einstein trouvait insatisfaisante par certains aspects la formulation qu’en avait donnée Lorentz en 1895, à partir de la théorie de Maxwell. D’une part, les phénomènes électromagnétiques (tels que l’induction) et optiques (absence d’anisotropie par rapport au mouvement de la Terre manifestée dans l’aberration des étoiles et dans des expériences comme celles de Fizeau, de Michelson et de Morley) respectaient le principe de relativité de la mécanique pour les mouvements d’inertie (rectilignes et uniformes). D’autre part, la théorie s’appuyait sur l’idée d’un éther immobile qu’elle distinguait des autres systèmes d’inertie, contredisant ainsi le principe de relativité.
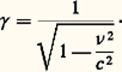
Dans son travail de 1905 «Sur l’électrodynamique des corps en mouvement», Einstein proposa donc, pour réformer la théorie, de considérer que le principe de relativité est universellement valide, et d’admettre la constance de la vitesse de la lumière indépendamment du mouvement de sa source, propriété résultant des équations de Maxwell. Il érigeait ces deux propositions fondamentales, appartenant respectivement à la mécanique et à l’électromagnétisme, en principes transcendant ces deux théories et servant de guides pour leur reformulation. Elles sont incompatibles si l’on conserve l’addition galiléenne des vitesses; Einstein trouva la solution dans une redéfinition des concepts physiques d’espace et de temps, qui soumettait ces derniers aux deux principes postulés. Les jugements sur les coïncidences spatiales (ajustement des coordonnées) et sur la synchronisation des horloges font intervenir la transmission de signaux à vitesse finie (par exemple, celle de la lumière), ce qui entraîne la relativité de la simultanéité (un jugement de simultanéité dépend de l’état de mouvement du système où l’on se trouve). Les coordonnées et les temps dans un système d’inertie donné sont reliés à ceux qui sont relatifs à un autre par une loi de transformation qu’Einstein déduisit directement. Ce sont les transformations de Lorentz :
avec :

L’ensemble de telles
transformations forme un groupe, dont l’invariant le plus simple est :
On peut les voir comme des rotations dans un espace à quatre dimensions, en prenant pour quatrième coordonnée ict, comme Poincaré fut le premier à le remarquer. Minkowski donna ensuite la théorie mathématique de l’espace-temps. La vitesse de la lumière dans le vide, c, y acquiert sa signification fondamentale de constante de structure de l’espace-temps.
Einstein inféra des transformations de Lorentz la contraction des longueurs et la dilatation des durées dans le système considéré au repos par rapport à ces grandeurs définies dans le système en mouvement :
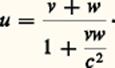
Ce sont des propriétés physiques de nature cinématique. Il déduisit également la nouvelle formule relativiste d’addition des vitesses :

pour des vitesses colinéaires v et w), qui gouverne toute la nouvelle cinématique et entraîne la reformulation des équations de l’électromagnétisme. Ces dernières trouvent dès lors une forme parfaitement symétrique et sont invariantes de Lorentz.
Einstein déduisit encore de la nouvelle cinématique la relation d’équivalence de la masse et de l’énergie, E = mc2, qui devait connaître de nombreuses applications, en physique nucléaire notamment.
3. Contributions à la théorie quantique
Einstein se rendit compte, peu après son travail sur les quanta de lumière, que ces derniers impliquaient une modification fondamentale de la théorie classique du rayonnement et des propriétés atomiques de la matière, c’est-à-dire la mécanique et l’électromagnétisme.
Développant l’idée qu’il existe un lien entre la chaleur spécifique d’un corps et son spectre d’absorption, il fut conduit, dès 1907, à étendre le domaine d’application de l’hypothèse des quanta d’énergie, au-delà des phénomènes du rayonnement, à la constitution même de la matière, en traitant les oscillations des atomes en termes de résonateurs dont l’énergie est quantifiée. Il obtint ainsi le résultat, plus tard vérifié par Nernst, que les chaleurs spécifiques s’annulent au zéro absolu de température. Il mit par ailleurs en évidence, en 1909, en calculant à partir de la formule de Planck la fluctuation de l’énergie du rayonnement, la structure duale de ce dernier, ondulatoire et quantique, ce qui montrait clairement l’insuffisance de la théorie classique.
La quantification des niveaux atomiques par Bohr et Sommerfeld lui fournit l’occasion de proposer, en 1916-1917, une première synthèse semi-classique de la théorie des quanta. À partir de la distribution des états discrets des énergies des atomes, il calcula les probabilités de transitions entre ces états, et déduisit la loi de Planck du rayonnement et la relation des fréquences de Bohr (e m _ e n = hv )
Il montra, ce faisant, que le rayonnement d’énergie :
possède une quantité de mouvement :
![]()
ce qui établissait le caractère pleinement corpusculaire, mais dont la direction à l’émission était laissée au hasard. Deux traits caractéristiques de la théorie quantique, la dualité onde-corpuscule et l’absence de causalité complète dans les processus, faisaient ainsi leur apparition : la mécanique ondulatoire et la mécanique quantique allaient s’édifier sur eux. Pour Einstein, cependant, ces caractères n’étaient que l’indice de la nécessité d’une théorie radicalement différente, qu’il faudrait édifier sur d’autres bases que les concepts classiques : la théorie actuelle n’était encore qu’un aménagement de la théorie classique pour rendre compte des conditions quantiques.
Il élabora encore, en 1924-1925, sa théorie des gaz monoatomiques soumise à une nouvelle statistique (dite de Bose-Einstein), qu’il relia à la dualité onde-corpuscule, retrouvant la généralisation proposée par de Broglie de la dualité aux éléments de matière. Sa théorie prévoyait la condensation de gaz de particules, première description d’une transition de phase (la transition de phase entre les deux états de l’hélium fut observée en 1928 par London), ainsi que les phénomènes de superfluidité et de supraconductivité. Ces travaux constituèrent le point de départ de la mécanique ondulatoire de Schrödinger.
4. Relativité générale
Dès 1907, Einstein se posa le problème de la généralisation du principe de relativité aux mouvements quelconques, qui obligeait à reformuler la théorie de la gravitation. Selon la loi de Galilée de la chute des corps, l’accélération due à la pesanteur ne dépend pas de la nature du corps, ce dont la mécanique newtonienne rend compte par l’égalité de la masse gravitationnelle mG apparaissant dans la loi d’attraction :
et de la masse inertielle mI (présente dans la loi F = m I g ). Einstein érigea cette propriété en principe, l’interprétant comme l’équivalence entre un mouvement accéléré et un champ de gravitation, et se proposa de construire sur cette base une théorie relativiste de la gravitation.
C’est en 1912 qu’il fit le pas décisif qui devait le conduire, à la fin de 1915, à la théorie achevée de la relativité générale. Il s’appuya sur l’idée, empruntée à Mach, que l’inertie n’est pas déterminée par l’espace absolu (critique de l’expérience du seau tournant de Newton) mais n’est que relative aux autres masses d’inertie de l’Univers («principe de la relativité de l’inertie», ou «principe de Mach»). Transposant à l’espace-temps de Minkowski la critique de Mach et remplaçant la distribution de matière par le champ de gravitation, il proposa de considérer les propriétés de l’espace-temps qui déterminent l’inertie comme des propriétés de champ, soumises à la covariance générale.
Le problème des déformations subies, en raison de la contraction de Lorentz, par une barre rigide en rotation suscita sa réflexion sur l’interprétation physique des coordonnées en termes de corps rigides, gouvernés par la géométrie euclidienne, en mécanique et en relativité restreinte. Rapportant la déformation à celle de l’espace dans lequel le corps se trouve plongé, il se rendit compte de la nécessité d’abandonner la signification physique directe des coordonnées, ce qui impliquait la covariance des lois (valables pour des systèmes de coordonnées quelconques). Il emprunta à la géométrie des surfaces de Gauss et à la géométrie riemannienne, puis au calcul tensoriel, les instruments mathématiques capables d’exprimer les lois du champ de gravitation sous forme covariante. Ce formalisme mathématique, appliqué à l’espace-temps de Minkowski, lui fournit la clé du problème initialement posé.
L’équivalence entre un champ de pesanteur homogène et un mouvement uniformément accéléré est locale et non pas globale, et la métrique d’espace-temps en un point, donnée par l’élément invariant :
![]()
est construite à partir de l’espace-temps de Minkowski tangent. Le champ de gravitation en ce point est identifié au tenseur métrique gmn . La force de gravitation est résorbée dans la courbure de l’espace et les corps suivent des trajectoires qui sont des géodésiques de cet espace.
L’étude des lois de transformation des tenseurs fournit le moyen d’exprimer des lois à covariance générale. En utilisant le calcul différentiel absolu de Ricci et Levi-Civitta et la notion de «champ de déplacement» (G j ik , qui détermine pour chaque vecteur en un point le vecteur en tout point infiniment voisin), Einstein obtint, en novembre 1915, les équations de la relativité générale :
![]()
(avec Rmn : tenseur de Ricci, formé sur le tenseur métrique fondamental gmn et obtenu par contraction du tenseur de Riemann-Christoffel d’ordre 4, R : courbure scalaire, Tmn : tenseur d’énergie-impulsion). Il en tira aussitôt les trois prédictions expérimentales, sur la courbure des rayons lumineux et sur le déplacement des fréquences vers le rouge dans un champ de gravitation, qui devaient être vérifiées par la suite, ainsi que sur l’avance séculaire de 43 secondes d’arc du périhélie de la planète Mercure, observée au XIXe siècle par Le Verrier. Dans un autre article, Einstein indique une quatrième prédiction de sa théorie: l’existence d’ondes de gravitation, qui sont aujourd’hui encore activement recherchées.
5. Cosmologie et théorie unitaire
En 1917, se préoccupant de la question des espaces-limites vides de masse dans le cas d’un Univers infini, Einstein s’interrogea à nouveau sur l’origine de l’inertie et sur le principe de Mach : pour préserver l’unicité du lien de l’inertie aux corps matériels à l’exclusion d’un espace absolu, appliquant les équations de la relativité générale à l’Univers entier, il fut amené à conclure à la nature fermée et courbe de ce dernier et, afin de préserver son caractère statique, introduisit une constante cosmologique pour compenser la pression de gravitation qui engendrait une variation de la courbure avec le temps. Il introduisait, ce faisant, le principe cosmologique qui postule l’homogénéité et l’isotropie de la répartition des masses dans l’Univers. La cosmologie contemporaine était née.
D’autres applications de la relativité générale à l’Univers, notamment par de Sitter et par Friedmann, devaient faire adopter d’autres modèles cosmologiques, et l’observation par Hubble, dès le début des années vingt, de la récession des galaxies ferait admettre l’idée, introduite en premier par Friedmann, d’un Univers en expansion suivant divers scénarios qui dépendent des conditions initiales. Einstein devait s’y rallier ultérieurement : ses diverses tentatives cosmologiques se trouvent résumées dans son article de 1945 «Sur le problème cosmologique».
Une autre direction des recherches d’Einstein dans la voie ouverte par la relativité générale fut celle, prépondérante dans son travail à partir des années vingt, d’une géométrisation du champ électromagnétique et de son unification avec le champ de gravitation. Des propriétés plus complexes de la structure de l’espace-temps, au-delà de la géométrie riemannienne, permettraient de représenter les phénomènes électromagnétiques et d’exprimer les équations de l’électrodynamique comme des géodésiques de cet espace-temps. Au terme – tout asymptotique –, il formulait le souci de parvenir à une théorie plus unitaire, simple et englobante, qui posséderait la propriété de complétude: une théorie du champ et de sa source, totalement déductive, sans paramètres arbitraires ni constantes fondamentales. Il espérait aussi, des progrès dans cette voie, une approche indirecte permettant de résoudre l’« énigme des quanta », en retrouvant, par des contraintes sur les champs, les conditions quantiques. Mais aucune de ses tentatives, poursuivies sans relâche jusqu’à sa mort, ne put aboutir.
6. Critique de l’interprétation de la mécanique quantique
Tout en admettant la validité des relations de la mécanique quantique, Einstein formula des critiques sur son interprétation par Niels Bohr et l’École de Copenhague en termes de «philosophie de la complémentarité». Il refusait d’y voir une théorie définitive et complète (selon les termes de Born et Heisenberg) et contestait qu’elle pût servir de point de départ pour une théorie plus fondamentale qui s’unifierait un jour avec la relativité générale.
Parmi les expériences de pensée qu’il utilisait volontiers pour s’interroger sur la nature et le contenu des théories, l’expérience dite «E.P.R.» (Einstein, Podolski, Rosen, 1935) est restée célèbre : elle fait intervenir des systèmes quantiques corrélés dans un état initial (deux particules issues d’un même atome) et qui le demeurent après leur séparation, quelle que soit leur distance. Cette propriété spécifiquement quantique (non-séparabilité locale) fut éclairée par Einstein, tout en étant refusée par lui; elle devait être mise en évidence par Bell (1964) et testée expérimentalement (expériences d’Aspect, 1981).
Einstein considérait que l’objectif de la physique était de décrire une réalité – qui se présente, par exemple, sous la forme d’un système individuel – supposée exister indépendamment de l’acte de mesure. Il exprimait, par complétude théorique (dans un sens ici moins fort que celui qui est proposé pour la théorie du champ), la nécessité, pour une théorie fondamentale, de rendre compte de tous les éléments de réalité qu’il est possible de caractériser par la pensée concernant son domaine et d’être en relation biunivoque avec le système réel décrit. Il lui paraissait raisonnable de postuler un «principe de séparabilité locale» – bien qu’il fût étranger aux propositions de la mécanique quantique – pour des systèmes physiques définis dans l’espace et sans interaction entre eux: ce principe lui fournissait un moyen de caractériser un système physique réel indépendamment du fait qu’on l’observe ou non.
La mesure complète des grandeurs (A ) caractérisant le premier sous-système (I) donne la connaissance de son état (q A I) et, en raison de la corrélation initiale, celle (la fonction q A II) du second système (II), qui n’est pas perturbé. Une autre mesure complète du premier sous-système, sur des grandeurs (B ) qui sont incompatibles (au sens de la non-commutation) avec les précédentes, fournirait une autre description des deux sous-systèmes (q B I et q B II). Le second système non perturbé, supposé être représenté individuellement par une fonction y, pourrait donc être décrit de deux manières différentes (par q A II et par q B II) ; ou alors, il faudrait admettre que son état est déterminé par l’acte de mesure sur le premier, ce qui supposerait une interaction instantanée entre les deux, hypothèse déraisonnable aux yeux d’Einstein. La situation est différente si la fonction y ne décrit que des ensembles de systèmes, mais alors la mécanique quantique est une théorie seulement statistique et les systèmes individuels ne sont pas décrits, bien qu’on puisse les penser : c’est en ce sens qu’il convient d’entendre la formulation fameuse: «Dieu [c’est-à-dire la nature] ne joue pas aux dés.»
7. Portée de l’œuvre scientifique d’Einstein
L’œuvre scientifique d’Einstein a entraîné des modifications de portée considérable, voire des bouleversements, dans les conceptions scientifiques et philosophiques du monde contemporain. Il existe cependant bien des ambiguïtés sur la nature exacte de ces modifications, ainsi d’ailleurs que sur le rapport entre les interprétations auxquelles les découvertes d’Einstein ont donné lieu et la manière dont lui-même les considérait.
On a vu dans la relativité et dans la physique quantique les deux révolutions de la physique du XXe siècle, qui signaient une rupture radicale avec la physique classique. La différence est grande entre ces deux théories. Einstein lui-même voyait une rupture avec l’idéal de la physique classique plutôt du côté de la mécanique quantique que de celui de la relativité, en ce que la première renonçait à la description des phénomènes physiques dans l’espace et dans le temps, voire à la notion de réalité physique. Il lui semblait pourtant que les conceptions quantiques ne rompaient pas autant qu’on l’affirmait avec les notions classiques sur lesquelles elles continuaient de se fonder, tout en les aménageant.
Quant à la théorie de la relativité, il se plaisait à souligner sa continuité avec la physique de Newton, tant pour ce qui concerne la relativité restreinte que la relativité générale; toutes deux prennent leur point de départ dans des concepts de la physique newtonienne, fût-ce pour les critiquer: relativité des mouvements, causalité différentielle, espace, temps, inertie, loi d’attraction...
Toutefois, la disparition de l’éther, la relativité de la simultanéité, la suppression de l’espace et du temps absolus, la formulation d’une nouvelle cinématique, le remplacement de l’action à distance par la notion de propagation de proche en proche, l’indissociabilité de l’espace et du temps, l’incorporation à la structure physique de l’espace de l’inertie et de la gravitation, la conception d’un univers courbe, peut-être fermé, et en évolution, toutes ces modifications concourent à la formation d’une «image du monde» bien différente de celle du temps de Newton.
Au sujet de la relativité restreinte, Einstein n’y voyait que l’aboutissement d’une transformation commencée lorsque le concept de champ fut introduit par Faraday dans la mécanique, comme un corps étranger qui allait peu à peu modifier cette dernière de manière radicale. La relativité générale se situait à cet égard directement dans ce prolongement. La physique, toutefois, n’avait pas achevé sa révolution, puisque deux notions aussi différentes que celle de point matériel (sous-jacente à l’idée de particule) et celle de champ continuaient d’y coexister.
La relativité générale indiquait aux yeux d’Einstein une rupture, qui se situait plus dans l’ordre des conceptions sur la connaissance que dans son contenu physique. Le caractère nécessairement indirect et abstrait, mais également formel, de son élaboration faisait voir avec les yeux de l’évidence la nature illusoire de la conception empiriste et inductiviste, si fréquente au XIXe siècle, pour laquelle les théories pouvaient être directement tirées de l’expérience. Elle montrait aussi le pouvoir heuristique du formalisme mathématique dès lors qu’il traduisait des concepts et des problèmes physiques.
8. Philosophie de la connaissance
Les nouvelles conceptions de la physique contemporaine provenant de la théorie de la relativité et de la mécanique quantique ont entraîné, en tout cas, dans le domaine philosophique, de substantielles remises en cause. Tout d’abord, quelle que soit la continuité des concepts et des énoncés physiques avec les conceptions antérieures, ils se présentent selon des interprétations différentes, de nature systémique: c’est leur place dans les systèmes théoriques concernés, mais également dans le cadre général des connaissances, qui est modifiée et qui leur confère une autre signification.
Tel est le sens des grandeurs physiques comme l’espace et le temps, par exemple, qui sont construites en fonction de propriétés physiques fondamentales, comme le respect du principe de relativité et la constance de la vitesse de la lumière. Ils ne peuvent plus être vus comme des formes a priori de la sensibilité dans le sens de Kant, à cause de cette construction et parce qu’ils correspondent à un contenu objectif. Mais ils peuvent difficilement être considérés, à l’inverse, comme purement empiriques, si ils sont constitués dans un système théorique où l’expérience n’est que l’une des instances ayant un rôle, à côté des définitions, des conventions et de choix rationnels de diverses natures. La démarche d’Einstein a souvent été interprétée, à tort, comme définissant tout uniment ces grandeurs par référence à leur mesure, alors qu’il était préoccupé de les définir physiquement, c’est-à-dire en référence à des phénomènes et à des événements, mais qui demandent par ailleurs, pour être intelligibles, d’être constitués rationnellement.
La question de la géométrie, également, a constitué l’un des points chauds des débats philosophiques, reprenant celui qui avait eu lieu à propos des géométries non euclidiennes, avec notamment Riemann, Helmholtz, Mach et Poincaré. Les empiristes et positivistes logiques, avec Reichenbach et Carnap, ont vu dans la réponse donnée par la relativité générale sur la structure non euclidienne de l’espace physique l’évidence de la «dissolution du synthétique a priori» kantien et de la vérité de l’empirisme. Toutefois, le caractère construit de la théorie physique, médiatrice entre la formalisation mathématique et le donné empirique, ne permet pas de simplifier le problème en ces termes, et l’on peut penser, avec Einstein, qu’il demeure un élément rationnel acquis antérieurement, provisoire, certes, mais qui possède une fonction d’intelligibilité «pour éclairer notre expérience».
Par-delà les conceptions et les débats directement reliés au contenu des théories physiques, Einstein s’était formé une philosophie de la connaissance, en cohérence avec sa propre pratique de la recherche en physique, qu’il concevait d’ailleurs comme la tentative de se donner une «image du monde». Cette philosophie s’est aussi constituée à l’aide de la lecture de philosophes et de savants-philosophes, et l’on y décèle certains traits empruntés notamment à Kant, à Hume, à Poincaré et assimilés en une synthèse originale. Le réalisme critique d’Einstein pose l’existence d’une réalité physique indépendante de la pensée comme un programme à accomplir. La connaissance vise à la représentation de cette réalité, par la construction de théories, systèmes de concepts dont les relations entre eux sont guidées par quelques principes régulateurs (comme ceux de la thermodynamique, ou de relativité), et qui sont «inventés librement» par la pensée, en ce sens qu’ils ne sont pas liés logiquement au donné empirique, tirés de celui-ci par induction. La science est objet de création; mais cette création n’est pas arbitraire, elle est soumise au jugement de l’expérience. Celui-ci, toutefois, ne peut être que global, étant donné le caractère systémique des concepts et des propositions théoriques. Il est possible de se prononcer – comme dans le cas de la nature de la géométrie du monde physique – par des décisions motivées concernant le degré d’approximation que l’on peut obtenir.
___________________________________
© 2000 Encyclopædia Universalis France S.A. Tous droits de propriété intellectuelle et industrielle réservés.